E. coli 核糖体 收藏
Download:
- isoschizomers |
- compatible ends |
- single letter code
相关产品
特性
绘制抗原表位图谱
PURExpress 试剂盒采用 PURE 系统技术,该技术最早由东京大学 Takuya Ueda 博士发明,Biocomber(日本,东京)商业化为 PUResYsTeM®。
概述
PURExpress® 体外蛋白合成试剂盒是新型无细胞转录/翻译系统,用于基因快速表达分析,是由大肠杆菌翻译所必需组份纯化而构成。PURExpress 系统无核酸酶和蛋白酶的污染,保护了模板 DNA 和 RNA,避免了蛋白的修饰及降解。转录和翻译过程仅需将两管试剂混合,一步反应即可完成,几个小时就可观察实验结果,PURExpress 系统大大地节省了宝贵的实验时间,特别适合于高通量技术。
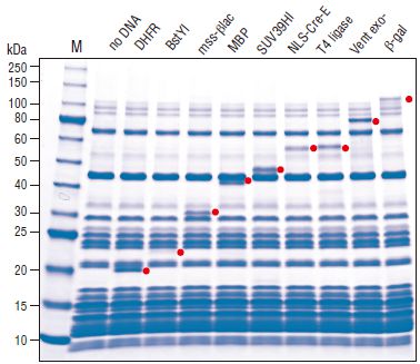
使用 PURexpress 体外蛋白合成试剂盒表达蛋白质。25 μl 反应体系中加入 250 ng 模板 DNA 和 20 单位 RNase 抑制剂,37℃ 反应 2 小时。各取 2.5 μl 反应液,进行 10-20% Tris-甘氨酸 SDS-PAGE 电泳分析。红点处指示的为目的蛋白。Marker M 是蛋白质分子量标准(NEB #P7703)
优点
• 转录/翻译的组份通过亲和层析即可去除
PURexpress 二硫键增强剂
该专利产品的成分为蛋白质与缓冲液,当 PURExpress 系统合成或 E. coli S30 提取的目的蛋白具有较多二硫键时,能帮助其正确折叠。在合成反应开始时加入 PURExpress 二硫键增强剂,能够协助半胱氨酸硫醇的氧化,并纠正硫醇的错误氧化,从而提高可溶性蛋白及具有功能活性蛋白的产量。
PURexpress 二硫键增强剂。(PDBE)促进活性 vtPA 的正确折叠。反应按照 PURExpress 系统说明进行,以 vtPA DNA 为模板。37℃ 下温育 2 小时后,取 5 μl 反应液进行活性检测,在 1 小时内监测发光底物的剪切反应。
PURexpress Δ Ribosome 试剂盒
此试剂盒中移除了核糖体,使得研究蛋白翻译的用户能够使用自己的修饰核糖体。试剂盒还提供单独一管的对照核糖体(2 次反应用量)。
PURexpress Δ RF123 试剂盒
释放因子通过识别 mRNA 序列上的终止密码子参与蛋白翻译的终止过程。采用 PURExpress 进行核糖体展示实验时,缺乏释放因子能够稳定 mRNA-核糖体-新生肽链形成的三元复合体。因此 cDNA 的回收率会更高。该试剂盒单独提供三种释放因子,用户能够自行选择在有或无释放因子的条件下进行蛋白质体外合成或核糖体展示。
PURexpress Δ (aa, tRNA) 试剂盒
该试剂盒单独提供 tRNA 与氨基酸,用户能够向反应体系中加入修饰过的氨基酸与 tRNA 混合液进行蛋白质合成反应。
E. coli 核糖体
大肠杆菌的 70S 核糖体由一个小亚基(30S)与一个大亚基(50S)组成。该核糖体试剂在 NEB 的 PURExpress体外蛋白合成试剂盒(NEB #E6800)中活性很高,在核糖体结构与功能研究中,能够用于药物筛选的靶标以及分离天然核糖体 RNA(5S、16S、23S)的起始材料。该产品溶液浓度为 33.3 mg/ml。
PURexpress 试剂盒组分